Historical Review: Clinical And Exercise Physiology Studies in the Andes and Their Applications on the Nuñoa 1965 Penn State Study
Article Main Content
This review aims to: i) address the first clinical-lab setting studies carried out in the Andes, which reported data regarding human response to high-altitude scenarios or similar hypobaric chamber studies conducted with unacclimatized and long-term exposed to the altitude low-altitude dwellers, and ii) provide an in-depth analysis of the clinical and exercise physiology series of studies carried out in Nuñoa, Peru (4,000 m altitude; PB = 470–476 mmHg), led by Professors Elsworth Buskirk (Penn State Human Performance Research Laboratory) and Paul Baker (Penn State Department of Sociology and Anthropology), in which a group of 26- Quechua ethnic highland natives and a group of 15 Caucasians partially acclimatized U.S. participants (6-well trained Collegiate athletes and 9 researchers and graduate students) were physiologically assessed in the Peruvian Altiplano in 1965. This is, to the best of our knowledge, the first study conducted with endurance athletes at a high-altitude range elevation (3,000–5,500 m terrestrial altitude).
Introduction
In the summer of 1965, Professor Elsworth Buskirk (Human Performance Research Laboratory at Penn State University) and Professor Paul Baker (Department of Sociology and Anthropology at Penn State University) conducted a series of physiological experiments in the remote high-altitude Andean town of Nuñoa, Peru (4,000 m; PB = 470–476 mmHg) (Littleet al., 2025; Frisancho, 2025). Three papers were published comparing several physiological mechanisms and exercise capacity in a group of high-altitude natives (Quechua ethnicity), lifelong residents from Nuñoa, and a group of partially acclimatized lowlanders from the United States of America (6-track athletes from Penn State Track Team, postgraduate students, and researchers).
The first article was published in 1967 in the Human Biology journal and analyzed skin temperature, rectal temperature, and metabolic response to a 2-hours cold exposure (10°C and 15°C) in both groups (highlanders vs. lowlanders) (Bakeret al., 1967). The same year, it was published in the Journal of Applied Physiology, the second study that analyzed the effects on performance of training at 4,000 m terrestrial elevation among American athletes (Buskirket al., 1967). Finally, in the third experiment, these athletes were compared with native inhabitants of the Peruvian highlands using laboratory setting tests that analyzed the physiological response and work capacity of both groups of participants (Kolliaset al., 1968).
From the 1920s, data from clinical-lab setting studies were published, highlighting: i) differences in the oxygen dissociation curve between low- and high-altitude dwellers, ii) lower metabolic demands and energy expenditure among highlanders when exercising at high altitude (i.e., miners), iii) a relationship between a reduction in metabolism and acute/chronic mountain sickness, and iv) positive acclimatization mechanisms after several weeks of exposure (e.g., increases in ventilation raising alveolar oxygen pressure in 10–12 mmHg; displacement of the oxygen dissociation curve; hematopoiesis).
The purpose of this historical review is: i) to address the first studies with clinical laboratory settings carried out in the Andes, which reported data regarding human response to high-altitude scenarios or similar hypobaric chamber studies conducted with unacclimatized and long-term exposure to low-altitude dwellers, and ii) to provide an in-depth analysis of the clinical and exercise physiology series of studies carried out in Nuñoa, Peru led by Professors Elsworth Buskirk and Paul Baker.
Early Human Physiology in Andes
To the best of our knowledge, the first scientific observations in the Andes were conducted in 1891 by British Mountaineer Edward Whymper, who reported acute mountain sickness (AMS) symptoms that receded upon returning to higher barometric pressure scenarios (Whymper, 1891).
That same year, Dr. Viault was the first scientist to report an enhancement of the hematopoietic response to high-altitude elevations (according to magnitude terrestrial elevation classification from Bärstchet al., 2008) in sea-level dwellers (Caucasian) who had moved to a high-altitude scenario or had been exposed to acute hypobaric conditions (i.e., from hours up to a few weeks) and in high-altitude natives. Moreover, he performed a longitudinal study to analyze hematopoietic oscillations triggered by chronic exposure to altitude (Viault, 1891).
In 1921, a group of 6-physiologists led by Dr. Barcroft conducted what is known as the first scientific expedition in the Andes, which aimed to analyze human responses to high-altitude scenarios by comparing the behavior of different biological systems between highlanders and lowlanders residing long-term in Cerro de Pasco (4,300 m; PB = 458 mmHg) and lowlanders exposed to acute low-oxygen scenarios (i.e., the scientists themselves). Their main findings were: i) the oxygen dissociation displacement curve during acclimatization moved in the direction of increased saturation for any given oxygen pressure (PO2); ii) the oxygen dissociation curve moved leftwards in Cerro de Pasco compared to sea level among lowlanders; iii) no significant differences were observed (e.g., 50% blood O2 saturation was linked to a PO2 of ~20 mmHg) when comparing the oxygen dissociation curves of three high-altitude dwellers against three members of the expedition (lowlanders); iv) there was an increase in total ventilation (VE) to enhance alveolar PO2 in 10–12 mmHg, v) hematopoiesis was observed throughout the sojourn and after returning to sea level; and vi) perturbations in the circulatory, cardiovascular, digestive, and central nervous systems (Barcroftet al., 1923).
Dr. Hurtado conducted a study in 1927 assessing metabolism by indirect calorimetry in 167 Peruvian participants, reporting a relationship between acute and chronic mountain sickness (AMS-CMS) with a 20%–25% decrease in metabolism (Hurtado, 1927). In 1934, Dr. Hurtado and colleagues from Rochester Medical Institutions published new data on the respiratory response to short exposures (2 h) to a low barometric pressure (419 mmHg), equivalent to a terrestrial elevation of ~5,000 m in three adults and several guinea pigs. Thus, an anatomical study was conducted, and the authors observed lung congestion after low-barometric exposure and the appearance of emphysema, especially in the peripheral zones (i.e., less congestion and more dilatation of the alveoli), while the central parts of the lungs showed greater dilatation of the capillaries, which facilitated oxygen diffusion from the alveoli to the capillaries owing to greater residual air and lowered vital capacity (Hurtadoet al., 1934).
The International High-Altitude Expedition took place in Chile the following year (2nd Andean Scientific Expedition), and there were several reports from a series of clinical psycho-physiological studies conducted in different geographical areas of the Andean territory with study settings ranging from 520 to 6,140 m. Regarding the ascension rate to high-altitude, the authors compared ascents by airplane up to 4,005 m in 50 min with reports from Barcroftet al. (1923) of train ascensions to Morococha at 4,540 m in 420 min. The main findings were as follows: i) physiological perturbations decreased with more gradual ascents (e.g., heart rate increased 41% vs. 48%; systolic pressure increased 21 mmHg vs. 4 mmHg; diastolic pressure was enhanced 11 mmHg by plane, but there were no changes by train), ii) the best acclimatization to altitude was shown by those participants with little or no rise in both heart rate (HR) and blood pressure, and iii) oxygen saturation (SaO2) and oxygen capacity were higher in slow acclimatization than in rapid ascent participants (McFarland, 1937).
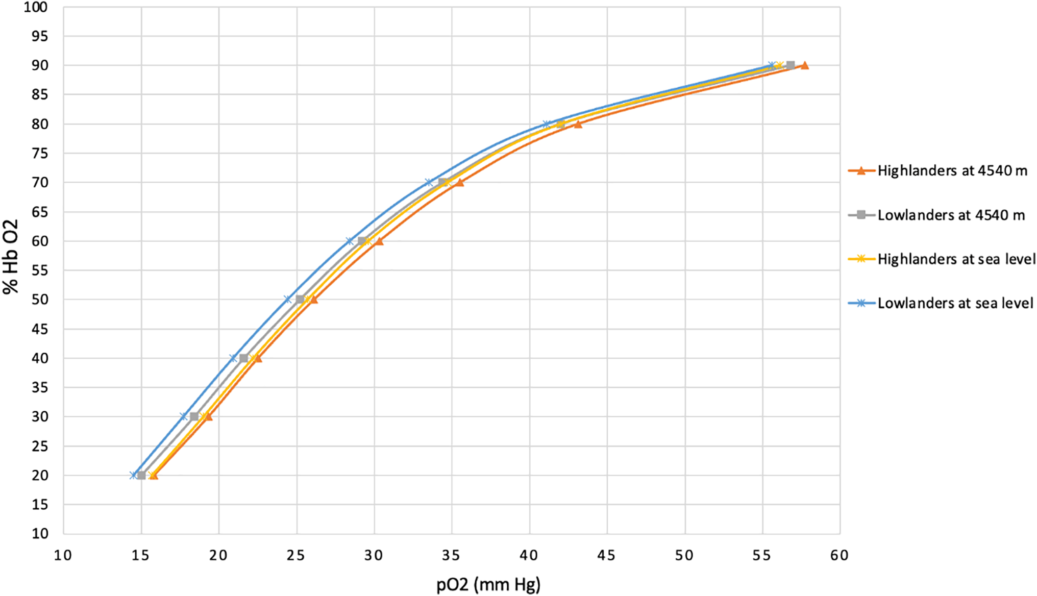
In 1944, Peruvian professors Aste and Hurtado discovered the main respiratory adaptations in high-altitude environments. In contrast to reports by Barcroftet al. (1923), they observed that for a 50% oxygen Hb saturation (HbO2) at a standardized pH = 7.40, the high-altitude dweller residents from Morococha (4,540 m altitude; PB = 453 mmHg) needed a PO2 = 26.13 ± 0.34 mmHg compared to the 24.39 ± 0.13 mmHg (ES = 0.95) needed by Lima residents (sea level) (Aste-Salazar & Hurtado, 1944), which is considered as a slightly shifted curve to the right among highlanders. Moreover, they reported a lower affinity for HbO2 at high altitudes. Fig. 1 shows the data from this study regarding the percentage of HbO2 from residents at sea level and upon their arrival at 4,540 m altitude, as well as from highlanders in both scenarios.
Fig. 1. Oxygen dissociation curves in sea level and altitude dwellers, assessed at both sea level and 4,540 m terrestrial elevation (PB = 433 mmHg). Source: Modified from Aste-Salazar & Hurtado (1944).
In 1952, researchers from Berkeley, led by Dr. Lawrence, studied the acute effects of hypobaria among students from Lima and its chronic effects in natives of Morococha and in miners of Morococha who suffered from pulmonary silicosis. Their main observations were: i) a greater iron absorption and plasma iron presence among high-altitude dwellers, and ii) the total red cell volume and plasma volume ratios between natives from Morococha relative to students from Lima were 1.5 ± 0.2 and 1.0 ± 0.1 (ES = 0.85), respectively (Lawrenceet al., 1952).
In 1961, Dr. Picón Reátegui assessed metabolism in 17 miners from Morococha and concluded that high-altitude dwellers had a higher ratio of oxygen uptake (VO2) per kilogram of fat-free mass and VO2 to cell mass ratio compared to lowlanders, as part of several physiological mechanisms that facilitate their adaptation to high altitude (Picón-Reátegui, 1961).
Studies from the Mid 60’s (The Beginning of High-Altitude Training Scenarios)
Two studies published in 1964 and 1966 led by Professor Dill from Indiana University in the run-up to the Mexico 1968 Olympic Games analyzed the physiological response to exercise at low altitude (Bloomington, USA; 235 m altitude; PB = 740 mmHg) and simulated pressures of 535 mmHG, 485 mmHg, and 455 mmHg in a barometric chamber (Dillet al., 1964, 1966). Briefly, two types of cycle ergometer test protocols were conducted in the 1964 experiment (Dillet al., 1964) (the Balke test and an incremental test to exhaustion) in nine participants (the authors’ self-assessment as well). Interestingly, in five of them, the data obtained from the work capacity at sea level and at different degrees of hypobaria were compared with the longitudinal data assessed in similar studies conducted in 1931 and 1946. The authors reported an improvement in VO2 kinetics after a few weeks of exercise under hypobaric conditions, but they did not assess sea level values. Moreover, as a performance limitation factor at high altitudes, the authors observed a decrease in oxygen per beat under hypobaric conditions [e.g., at 753 mmHg Professor Balke registered 20.5 mL O2 · min−1 · beat−1 while it decreased an 8.8% at 455 mmHg, being the corresponding absolute maximum oxygen uptake (VO2max) reduction greater, which was reduced by 18.5%]. Regarding the 1966 case study, the four participants were the authors of the study, who carried out a self-assessment with the Balke test in a cycle ergometer under different hypobaric conditions in 3-separate trials without partial acclimatization. Their main findings were as follows: i) a greater heart rate (HR) was observed at the same workload in hypobaria than in normobaria, although no further increase was observed from 485 mmHg to 455 mmHg; ii) there was a training effect on VE (e.g., + 22% at 535 mmHg, + 9% at 485 mmHg, and + 12% at 455 mmHg). Nonetheless, no major differences were observed between pressures (e.g., 740 mmHg 100%, 102% at 535 mmHg, 106% at 485 mmHg, and 99% at 455 mmHg), iii) there was a limitation on O2 utilization as the ΔVO2 from the penultimate to the last minute was 2%–4%, while a ~10% increase in CO2 production (respiratory alkalosis) was reported from the penultimate to the last minute of the test, iv) no significant training effect was observed in VO2max between trials, but there was a progressive decrease with hypobaria (e.g., a 93%, 87%, and 82% at 535 mmHg, 485 mmHg, and 455 mmHg respectively was observed in the third trial compared to 740 mmHg), and v) the work capacity was reduced with hypobaria, but there was a training effect with an improvement in the second and third trial (e.g., relative work capacity 74%, 82%, and 84%, considering the response at 740 mmHg as 100%).
Contrary to the idea that physiological stress when exercising at high altitude is similar to the same workload at sea level, in 1966, Dr. Banchero and co-workers discovered using invasive techniques (right heart catheterization) that pulmonary pressure increased by ~100% during exercise at high-altitude (Morococha, Peru; 4,540 m altitude; PB = 435 mmHg; tracheal PO2 = 83 mmHg) in 35-highlanders in a 7-min supine position pedaling protocol with a 300 kg · min−1 · m−2 at 60 rpm workload. However, the same exercise performed by 22-lowlanders at low-altitude (Lima, Peru; 150 m altitude; PB = 750 mmHg; tracheal PO2 = 147 mmHg) increased their pulmonary pressure to half that extent [for example, mean pulmonary artery pressure during resting at sea level was 12 ± 2.2 mmHg vs. 18 ± 2.7 mmHg (p < 0.001), while the same values at high altitude were 29 ± 10.8 mmHg vs. 60 ± 17.0 mmHg (p < 0.001)]. Additionally, the authors found that a limitation in the VO2 kinetics triggered by hypoxemia during exercise at high altitudes is linked to a fall in the arterial PO2, as it is well known that under resting conditions, this decrease is placed in the steep part of the oxygen dissociation curve (Bancheroet al., 1966). Thus, a limitation for athletes exercising at an altitude of ~4,000 m, as reported in the 60’s by Dill et al. and Banchero’s group, might be the significant reduction experienced in VO2max at any given intensity relative to sea level and the perturbation of the second respiratory cascade caused by a greater level of hypoxemia.
Studies from the 60’s and 70’s Conducted at ~3,000 m Altitude with Endurance Athletes (from the Lab to the Track)
In the late 60’s and the early 70’s, four studies addressed both the physiological response and athletic performance of low-altitude dwellers residing and training at ~3,100 m (Dill & Adams, 1971; Groveret al., 1966, 1967; Reeveset al., 1967). Interestingly, the “Lexington” studies (Groveret al., 1966, 1967; Reeveset al., 1967) were published in 1966 and 1967, the year before and the same year as the series of exercise physiology studies carried out in Nuñoa and led by Dr. Buskirk (Buskirket al., 1967; Kolliaset al., 1968). However, the experimental protocol of the latter was conducted in 1965 and was part of the Human Adaptability Program of the International Biological Program founded by the U.S. Army Medical Research and Development Command (USAMRDC) and the American National Institute of General Medical Sciences (Frisancho, 2025; Littleet al., 2025).
In 1966, Grover et al. observed a ~25% decrease in VO2max in 5-cross-country (XC) state champion athletes from Lexington, USA (300 m altitude, PB = 740 mmHg) upon arrival and during a 17-day sojourn in Leadville, USA (3,100 m altitude, PB = 530 mmHg). Additionally, five active high school lifelong resident students from Leadville were tested in Lexington at low altitudes. Interestingly, highlanders experienced 27% greater VO2max in Lexington than in Leadville. In this regard, professors Grover and Reeves stated, “lifelong acclimatization to the chronic hypoxia of Leadville did not lessen the handicap on the oxygen transport system at 3,100 m”. Moreover, there was still a perturbation in VO2max (~12%) among lowlanders 5–9 days after returning to Lexington. A striking finding was the 15% greater VE at altitude, which still increased in the Balke test after reaching the VO2 plateau, suggesting that VE was not the reason for VO2 limitation. Furthermore, the heart rate max (HRmax) was not reduced at altitude, and HR was greater at any given workload at altitude. Regarding performance in track events, runners performed faster in glycolytic-predominant events such as the 200 m and 400 m in low-density ambient air, differing from aerobic predominant events such as the 800 m and the mile run, which were performed slower in Leadville, which was linked to a greater aerobic demand (e.g., 800 m 1.2%–3.7% slower vs. the mile 3.5%–7.6% slower) (Groveret al., 1966). This degree of performance limitation is associated with the magnitude of terrestrial elevation (e.g., a 20%–24% slower mile run was observed among athletes training at 4,000 m in Nuñoa) (Buskirket al., 1967).
The same group of authors published an article in 1967 in which performance at an altitude of 3,100 m was tested among the same lowlanders described above (Reeveset al., 1967). The results were compared with those of the pre- and post-altitude tests conducted at low altitudes. Their main finding was the absence of an improvement in VO2max (−4.7%). There wasn’t an improvement in the performance in the treadmill assessed at low-altitude 1 to 5 days after returning from a 21-day high-altitude sojourn either (i.e., pre-altitude VO2 = 4.12 L · min−1 ± 0.16 L · min−1 vs. post-altitude 3.93 L · min−1 ± 0.47 L · min−1). In addition, the authors reported a ventilatory perturbation in the post-test compared to the pre-altitude (i.e., pre-altitude VE = 106 L · min−1 ± 11 L · min−1 vs. 109 L · min−1 ± 8 L · min−1). Thus, signs of ventilatory acclimmatization (Chapmanet al., 2014) upon low-altitude return were observed. Interestingly, the authors hypothesized that the progressive decrease in VO2max observed at altitude may be linked to a decreased stroke volume and limitation of oxygen diffusion from the alveoli to the capillary. Nevertheless, hemodynamic parameters were not assessed.
The third Lexington-Leadville article was published in 1967 (Groveret al., 1967). The main findings were that active highlanders had a similar aerobic capacity at low altitudes as the XC State champions (VO2max in highlanders = 66 mL · kg−1 · min−1 vs. 68 mL · kg−1 · min−1 in lowlanders), reducing VO2max at high altitudes (~25%) in both groups. Interestingly, the Lexington athletes decreased their VE at any workload under hypobaric conditions, but both groups reached 100%-minute VE at 3,100 m altitude. In fact, all the participants exceeded the maximum VE reported at low altitudes, a fact that had not been previously observed by Dr. Hurtado et al. in 1956 (Hurtadoet al., 1956) or by Professor Balke in 1964 (Balke, 1964) among Andean lifelong residents from Morococha, Peru (4,500 m altitude). The authors stated, “For a given oxygen uptake (VO2) during treadmill exercise, minute ventilation (VE BTPS) is greater at high-altitude than at low-altitude” (e.g., at VO2 = 3000 mL · min−1, VE was ~105 L · min−1 at high altitude vs. ~75 L · min−1 in Lexington at 300 m altitude). However, the maximum breathing capacity also increased by ~18% at high altitude, and the maximum VE was 80% of the maximum breathing capacity at low altitude, and 70% of the maximum breathing capacity in Leadville. Regarding athletic performance, there was also a perturbation in the mile run in Leadville (4% slower for highlanders than 7% slower for lowlanders). However, we must be cautious with track performance data reported as some incongruencies are shown (e.g., a time of 27.0 seconds taken to run 202 m does not match up to 52.5 seconds in the 404 m).
In 1970, Professors Dill and Adams wanted to test the possible aerobic improvement efficiency of a 17-day sojourn at the White Mountain Research Station, USA (3,090 m altitude; PB = 530 mmHg) (Dill & Adams, 1971). For such purpose, they enrolled 6 High-School conference champions in middle-distance athletics events with impressive times in the mile run (4 min 19 s to 4 min 26 s), and mean VO2max = 72.0 mL · kg−1 · min−1. Pre- and post-tests were carried out at Davis University, USA (16 m altitude; PB non-reported) and on days 2nd, 4th, 7th, 10th, 14th, and 16th at altitude. The authors observed that the lowest VO2max values were reached on days 4th–7th and they continued to be 15% lower throughout the entire sojourn. After the altitude camp, the athletes were able to maintain an effort of 24.1% longer during the Balke treadmill test. Nonetheless, an improvement of 4.2% in VO2max (range +0.6% to +6.4%) and a better running economy were reported after the training camp (7% mean decrease in VO2 required at a certain speed/grade). Unfortunately, no track test performance has been reported in the Lexington studies. However, there might have been an improvement in the mile run for participants who were in concordance with the physiological enhancement observed after returning from altitude. See the chronological evolution of the aforementioned studies in Fig. 2.
Fig. 2. Chronological evolution of clinical and exercise physiology studies conducted at high-altitude before and right after the Nuñoa study. References: (Aste-Salazar & Hurtado, 1944; Bancheroet al., 1966; Barcroftet al., 1923; Buskirket al., 1967; Dillet al., 1964,1966; Dill & Adams, 1971; Groveret al., 1966, 1967; Hurtado, 1927; Hurtadoet al., 1934; Kolliaset al., 1968; Lawrenceet al., 1952; McFarland, 1937; Picón-Reátegui, 1961; Reeveset al., 1967; Viault, 1891).
Penn State Research in Nuñoa in 1965
A series of human and exercise physiology studies in Nuñoa was conducted in 1965. However, the experiments were conducted at four different venues: Penn State University, USA (360 m altitude; PB = 726 mmHg–742 mmHg), Nuñoa, Peru (4,000 m; PB = 470 mmHg–476 mmHg), Mt. Evans, USA (4,375 m; PB = non-reported), Alamosa, USA (2,300 m; PB = non-reported), and Jewish Hospital in Denver, USA (1,609 m; PB = non-reported). Three articles, whose main findings were addressed, were published. No data from athletes’ assessments at Mt. Evans, Alamosa, and Jewish Hospital in Denver have been published. In addition, another paper was published in 1970 by Picón-Reáteguiet al. (1970), with data concerning blood glucose in American athletes while sojourning in Nuñoa.
In May 1967, the first paper unveiled data regarding the thermoregulation response of 26-high-altitude native residents of Nuñoa and a group of 15-lowlanders from the USA who underwent two cold exposures lasting two hours each at 10.2°C and one cold exposure at 15.5°C in a room (refrigeration unit used to cool down the room) (Bakeret al., 1967). The main findings were: i) the high-altitude dwellers showed higher mean weighted skin temperatures compared to Caucasians before cooling (33.4°C ± 1.0°C vs. 32.3°C ± 0.6°C, ES = 0.55) and during both cold exposures (28.5°C ± 0.8°C vs. 27.7°C ± 0.7°C, ES = 0.47 at 28 min; 27.3°C ± 0.8°C vs. 26.6°C ± 0.8°C, ES = 0.40 at 60 min; 26.6°C ± 0.7°C vs. 26.0°C ± 0.8°C, ES = 0.37 at 116 min), ii) especially higher digital (toe and finger) skin temperatures were observed among the Nuñoa inhabitants compared to lowlanders before entering the cold chamber (e.g., toe temperatures in both groups were 27.0°C ± 3.7°C vs. 21.9°C ± 2.3°C, ES = 0.64) and throughout the cooling protocol (e.g., finger temperatures in both groups at 116 min were 14.6°C ± 2.4°C vs. 12.7°C ± 1.1°C, ES = 0.45), iii) Rectal temperatures (TR) were also higher in the high-altitude dwellers; however, the authors stated that this difference between groups might disappear with repeated exposures or > 2 hour cooling protocols (e.g., by the end of the 10.2°C exposure no differences were observed between groups 36.7°C ± 0.5°C vs. 36.5°C ± 0.4°C, ES = 0.22), iv) VO2 was about the same in both groups during the first hour of exposure (e.g., 0.30 L · min−1 ± 0.04 L · min−1 vs. 0.33 L · min−1 ± 0.07 L · min−1, ES = −0.02 at 28 min; 0.33 L · min−1 ± 0.06 L · min−1 vs. 0.37 L · min−1 ± 0.09 L · min−1, ES = −0.03 at 60 min), but in the second hour the metabolic activity was higher among lowlanders (e.g., 0.37 L · min−1 ± 0.06 L · min−1 vs. 0.44 L · min−1 ± 0.08 L · min−1, ES = −0.05 at 116 min), and v) VO2 relative to body surface area was strikingly greater in the lowlanders during the first hour (e.g., 0.20 L · min−1 · m−2 ± 0.03 L · min−1 · m−2 vs. 0.18 L · min−1 · m−2 ± 0.040 L · min−1 · m−2 · min−1, ES = 0.02 at 28 min; 0.21 L · min−1 · m−2 ± 0.04 L · min−1 · m−2 vs. 0.20 L · min−1 · m−2 ± 0.05 L · min−1 · m−2 · min−1, ES = 0.01 at 60 min) while there were no differences between groups in the second hour (e.g., 0.24 L · min−1 · m−2 ± 0.03 L · min−1 · m−2 vs. 0.24 L · min−1 · m−2 ± 0.04 L · min−1 · m−2 · m−2 · min−1, ES = 0.01 at 116 min). In conclusion, the highlanders reported a 6% higher heat production expressed as kcal · m−2, a 6% higher heat loss not replaced by metabolic activity, particularly from digital areas, compared to lowlanders, and an 8% greater total heat exchange, considered as the sum of the heat loss and heat production. However, as well as the level of significance found by the authors, but not reported when differences existed, once the magnitude of change of the different variables was estimated and expressed as the effect size (ES), such effects were interpreted as trivial or small (Hopkinset al., 2009) in most comparisons between groups. See below in Fig. 3 the infographic of this study.
Fig. 3. Infographic of the first published study of the Penn State research conducted in Nuñoa.
In August 1967, the second article reported data on the physiological and performance responses of six U.S. collegiate track athletes (low-altitude dwellers) who carried out a 48- or 63-day training camp in Nuñoa (three participants each duration) (Buskirket al., 1967). Once they were completely acclimatized, the mean VO2max was 23% lower than that of Penn State. In the third article in 1968, the authors reported similar values (49.2 mL · kg−1 · min−1 ± 4.8 mL · kg−1 · min−1 vs. 51.8 mL · kg−1 · min−1 ± 3.4 mL · kg−1 · min−1, ES = −0.30) among the American athletes and 8 Nuñoa town and rural inhabitants (cattle breeders, farmers … non-athletes), respectively (Kolliaset al., 1968). In addition, the same group of researchers from Penn State (n = 6), took part in the study as the third group of participants which was defined as the “non-athletes” group. However, their data won’t be discussed in this review as this group reported a very low mean relative VO2max (37.5 mL · kg−1 · min−1 ± 5.6 mL · kg−1 · min−1) compared to the group of athletes and the active highlanders, and also because their body surface area was significantly greater than highlanders [2.00 m−2 (1.86 m−2−2.20 m−2) vs. 1.57 m−2 (1.43 m−2−1.77 m−2); p < 0.05]. Therefore, there were no groups of participants homogeneity.
Interestingly, the highlanders seemed more cardiopulmonary efficient due to a greater hypoventilation during exercise (e.g., VE = 153.3 L · min−1 ± 27.2 L · min−1 vs. 211.3 L · min−1 ± 17.1 L · min−1, ES = −0.79) as VO2max to HR ratio was equivalent to 16.8 ± 2.3 in highlanders vs. 20.9 ± 1.7 in lowlanders (ES = −0.71). Thus, a greater oxygen reserve for exercise might be expected among highlanders. In this regard, the VO2 recovery ability after the submaximal test at a workload of 1,080 kpm · min−1 was greater among Andeans (6.45 L · 10 min−1 ± 0.94 L · 10 min−1 vs. 5.48 L · 10 min−1 ± 0.63 L · 10 min−1, ES = 0.52). Nevertheless, when the protocol was performed at a greater workload for lowlanders (e.g., 1,080 kpm · min−1) compared to a lower workload for Andeans (e.g., 900 kpm · min−1), the gross efficiency %* was strikingly lower for Andeans 15.9% ± 1.1% vs. 19.0% ± 1.2% (ES = −0.80), reaching a substantially higher percentage of VO2max relative to lowlanders at the end of the test (86% ± 9.9% vs. 76% ± 13.4%, ES = 0.39). Additionally, when the workload was fixed at 1,080 kpm · min−1 the percentage of VO2max in the highlanders ranged from 80% to almost 100%, whereas it ranged from 55% to 85% among the lowlanders, thus confirming a lower ability to exercise at a greater intensity in the highlanders. Nonetheless, highlanders showed a greater ability to recover oxygen debt (VO2) from exercise 5.34 L · 10 min−1 to 7.51 L · 10 min−1 averaging 6.45 L · 10 min−1 ± 0.94 L · 10 min−1 relative to lowlanders 4.76 L · 10 min−1 up to 6.23 L · 10 min−1 averaging 5.48 L · 10 min−1 ± 0.63 L · 10 min−1 (ES = 0.52). Regarding the first respiratory cascade, both groups had a similar VE when expressed per unit surface area (e.g., VEmax ·m−2). Nevertheless, it seemed that the athletes had a greater oxygen transport capacity (second respiratory cascade) as lowlanders reported a greater maximal oxygen pulse 2.5 mL · beats−1 vs. 2.0 mL · beats−1, and as a result, a higher arterial oxygen content (Calbetet al., 2003). In this regard, the authors stated that the relative impact of a hypoxic environment on work performance in newcomers to altitude as compared to lifelong residents might be minimized with the physical condition. To this point, the rising question would be “What would have happened in the case of comparing similar cardiorespiratory fitness samples?”
As in previously published Lexington studies (Groveret al., 1966, 1967; Reeveset al., 1967), no improvement in VO2max was observed among lowlanders after the training camp, with a mean decrease of 29% on day 3, and in the range of 21% to 26% towards the end of the sojourn. However, when expressed relative to body mass, it averaged 63 mL · kg−1 · min−1 in Penn State athletes, whereas at 4,000 m, it decreased by 23% (49 mL · kg−1 · min−1). Additionally, the increase in VO2 during altitude sojourn was only 200 mL, despite a loss in body mass of 1–2 kg. Ventilation BTPS (VE) in the maximal intensity step of the protocol was 25% higher on the 3rd day of the camp, and it still increased to 32% by day 48, being enhanced by ~15% upon returning from altitude, which can be understood as a possible sign of ventilatory deacclimatization (Chapmanet al., 2014). In contrast with VE BTPS, VE STPD decreased by 26% during early exposure and by 19% after sojourn completion. Similar to BTPS, STPD was enhanced by 13% in the post-test, confirming ventilatory deacclimatization (Chapmanet al., 2014). Owing to the slight increase in VE throughout the camp, the ventilation equivalent (VE/VO2) increased slightly at the end of the sojourn and in the post-test at 300 m elevation. Notably, a greater VE/VO2 might confer athletes with a better ability for gas diffusion at the alveolar level, as it will increase the gradient pressure (PaO2) (Allenet al., 1984). The difference in pressure between the ambient air and arterial blood was 4 mmHg from the resting to the exercising condition. Additionally, the HRmax tended to decrease from the beginning to sojourn completion, and the amount of oxygen used per heartbeat was reduced by ~32% at the beginning of the camp (~15 mL O2 · beat −1), reaching the greatest drop on day 48 (~19% or ~20 mL O2 · beat −1), which might be linked to hemodynamic changes at altitude (Wagner, 2000). As expected, no changes were observed in the amount of oxygen per beat after returning from altitude (~25 mL O2 · beat −1; p > 0.05).
Regarding performance at altitude, the average times for the 440-yard, 880-yard, and 1- and 2-mile distances were 9%, 18%, 23%, and 19% slower, respectively, compared to the tests at low altitude in Penn State. Thus, except for one participant who equaled his personal best in a 1-mile run at 2,300 m in Alamosa, USA, 11 days after his high-altitude camp, no other participant improved their times. Thus, training at high altitudes might be used as a tool to enhance performance in endurance running events at moderate altitude elevations. Nonetheless, we must be cautious with the lowered performance reported after returning to low-altitude as these athletes were not tracked-monitored (Sanz-Quintoet al., 2019a), they did not follow a nutritional program (Sanz-Quintoet al., 2019b) or hydration status program (Sanz-Quintoet al., 2023). Interestingly, Picón-Reáteguiet al. (1970) published data regarding changes in red blood cells and blood glucose during altitude sojourn in Nuñoa in five of the six American athletes. Red blood cell assessment was performed at sea level in Lima (150 m altitude) upon American athletes’ arrival in Peru, and at 8, 15, 32, and 44 days of residence in Nuñoa. Hemoglobin concentration [Hb] was enhanced (p < 0.05) from sea level (15.0 L · min−1 ± 0.3 g · 100 mL−1) to the entire altitude residence (8th day, 18.2 L · min−1 ± 0.4 g · 100 mL−1; 15th day, 19.4 L · min−1 ± 0.3 g · 100 mL−1; 32nd day, 18.6 L · min−1 ± 0.3 g · 100 mL−1; 44th day, 18.1 L · min−1 ± 0.1 g · 100 mL−1). Thus, [Hb] increased until the 15th day of stay at 4,000 m altitude and then decreased near the end of the experimental period. In contrast with these observations, Sanz-Quinto and co-workers reported an enhancement in [Hb] throughout the entire 35-days sojourn at an altitude of 3,900 m in a professional wheelchair marathoner (sea level, 14.3 g · 100 mL; 8th day, 15.3 g · 100 mL−1; 15th day, 15.6 g · 100 mL−1; 21st day, 15.3 g · 100 mL−1; 28th day, 16.1 g · 100 mL−1; 35th day, 16.6 g · 100 mL−1) (Sanz-Quintoet al., 2022). The hematocrit increased up to the 32nd day and then decreased near the end of the sojourn (48 days) and remained higher (p < 0.05); however, the sea level values (sea level, 46.4% ± 0.8%; 8th day, 49.9% ± 1.3%; 15th day, 50.6% ± 1.1%; 32nd day, 52.3% ± 0.9%; 44th day, 50.2% ± 0.9%). A similar trend was observed in the aforementioned wheelchair marathoners (sea level, 42.3%; 8th day, 46.0%; 15th day, 47.0%; 21st day, 46.0%, 28nd day, 48.0%; 35th day, 50.0%) (Sanz-Quintoet al., 2023). Moreover, blood glucose was decreased up to the 15th day at altitude, then a steady recovery was observed, but did not reach the sea level values (p < 0.05) (sea level, 77.0 L · min−1 ± 2.0 mg · 100 mL−1; 8th day, 70.3 L · min−1 ± 0.8 mg · 100 mL−1; 15th day, 66.4 L · min−1 ± 1.6 mg · 100 mL−1; 32nd day, 69.1 L · min−1 ± 1.1 mg · 100 mL−1; 44th day, 71.6 L · min−1 ± 1.0 mg · 100 mL−1). Additionally, there are scarce data on the nutritional habits of American athletes while sojourning in Nuñoa (i.e., “Food habits were not changed, and the essential characteristics of an American diet were preserved. Their diet included at least 100 g · day−1 protein and 400 g · day−1 carbohydrate) (Picón-Reáteguiet al., 1970). In contrast, it has been recently published data on nutritional program from an elite marathoner (Sanz-Quintoet al., 2019b), who improved his performance in a 3,000 m time-trial (−3.4%) and a laboratory ergometer submaximal test (power output +13.7%) after a 5-week training camp in Puno, Peru (3,860 m–4,090 m altitude) (Sanz-Quintoet al., 2019b). Unfortunately, regarding the training regime of the athlete group, the authors only stated that the duration and intensity of the training was reduced by ~60% during the first three weeks and increased by ~10% by the fourth week.
* Gross efficiency % = kcal of work done in 30 min / (Kcal for 30-min exercise + kcal for 5-min recovery) · 100
See Figs. 4–6 concerning these studies.
Fig. 4. Infographic of the second published study of the Penn State research conducted in Nuñoa.
Fig. 5. Infographic of the third published study of the Penn State research conducted in Nuñoa.
Fig. 6. Infographic of the four published study including data from the Penn State athletes while sojourning in Nuñoa.
As main limitations of these studies it might be highlighted that: i) the participants in the thermoregulation study did not reach a thermal equilibrium prior to the cold exposure, regardless of being in a prep room at 28°C before entering the cold chamber, ii) exposures to cold might have triggered lower TRs in both groups or might have eliminated differences reported between groups, iii) as aforementioned, in the study comparing active high-altitude dwellers with well-trained lowlander athletes and non-athlete lowlanders, results might have differed (especially those regarding physiological mechanisms under submaximal workload) if both groups consisted of similar training status athletes, iv) the North American athletes were non-familiarized with altitude training or it was not mentioned in the methods section of any article, v) the highlanders participants had never used a cycle ergometer as the Monark®(Ab Cykelfabriquen Monark, Varberg, Sweden) and the Fleisch-Jaquet® ergometer (Instrumentation Associates, New York, USA) used in the laboratory tests. In this regard, the greater VO2max among Andeans was accompanied by a lower peak workload (1,272 Kpm · min−1 ± 227 Kpm · min−1 vs. 1,953 Kpm · min−1 ± 218 Kpm · min−1, ES = −0.84) due to mechanical efficiency constrictions (e.g., gross efficiency = 12.2% ± 1.1% vs. 14.5% ± 1.0%, ES = −0.74); vi) data regarding the athlete’s training program while residing in Nuñoa was scarce, and vii) it has not been possible to find any mention of the nutritional intake and results of the three athletes who were assessed in Mt. Evans, Alamosa, and the Jewish Hospital in Denver after the Nuñoa sojourn. In Fig. 7 it is shown two interviews conducted with two inhabitants from Nuñoa who took part at Penn State research in 1965.
Fig. 7. Moment of an interview of two participants (Mr. Cirilo Guamán and Mr. Sabino Machaca) of the Penn State research carried out in Nuñoa in 1965.
Conclusions
It was such a huge effort from Professor Buskirk (Human Performance Research Laboratory at Penn State), Professor Baker (Department of Sociology and Anthropology at Penn State), and his colleagues to organize these series of studies in different remote altitude scenarios, especially to ship heavy instruments for the assessment of physiological variables from Penn State to Nuñoa besides setting up a laboratory and building a 2-lane dust track in Nuñoa. The authors acknowledge both members of the scientific expedition and rural participants residents from Nuñoa for being pioneers, as this was the first study in which lowlander athletes carried out a training camp at high-altitude. To the best of our knowledge, only one more study has been carried out with an athlete at this magnitude (high-altitude) of terrestrial elevation (e.g., 4,000 m) (Sanz-Quintoet al., 2019a). Moreover, this has been an in-depth review of the Nuñoa series of studies trying to understand what made these researchers move to the Peruvian highlands 60 years ago, as we have addressed the existing literature on both clinical and exercise physiology studies carried out at high-altitude or hypobaric chambers and published before the experimental dates of Nuñoa (June–August 1965), but we have also contributed to defining some unknown study limitations through the estimation of statistics that were not used in the 60’s (e.g., ES) (Hopkinset al., 2009).
Finally, these studies from Nuñoa, and similar studies conducted in Cerro de Pasco (4,300 m) and the Morococha Laboratory (4,500 m) by Professors Peñaloza, Grover, Monge, Hurtado… have contributed to a better understanding of human physiological/performance responses to high-altitude among high-altitude dwellers and Caucasian, leading to the attainment of a vast number of research projects with similar ambient circumstances carried out up to now.
Conflict of Interest
Authors declare no conflict of interest.
References
-
Allen, C. J., Jones, N. L., & Killian, K. J. (1984). Alveolar gas exchange during exercise: A single-breath analysis. Journal of Applied Physiology Respiratory Environmental & Exercise Physiology, 57(6), 1704–1709. https://doi.org/10.1152/jappl.1984.57.6.1704.
Google Scholar
1
-
Aste-Salazar, H., & Hurtado, A. (1944). The affinity of hemoglobin for oxygen at sea level and at high-altitudes. American Physiological Society Journal, 142(5), 733–743. https://doi.org/10.1152/ajplegacy.1944.142.5.733.
Google Scholar
2
-
Baker, P. T., Buskirk, E. R., Kollias, J., & Mazess, R. B. (1967). Temperature regulation at high altitude: Quechua Indians and U.S whites during total body exposure. Human Biology, 39(2), 155–169. http://www.jstor.org/stable/41448836.
Google Scholar
3
-
Balke, B. (1964). Work capacity and its limiting factors at high altitude. In The Physiological Effects of High Altitude. W. H. Weihe. MacMillan.
Google Scholar
4
-
Banchero, N., Sime, F., Peñaloza, D., Cruz, J., Gamboa, R., & Marticorena, E. (1966). Pulmonary pressure, cardiac output, and arterial oxygen saturation during exercise at high altitude and at sea level. Circulation, 33(2), 249–262. https://doi.org/10.1161/01.cir.33.2.249.
Google Scholar
5
-
Barcroft, J., Binger, C. A., Bock, A. V., Doggart, J. H., Forbes, H. S., Harrop, G., Meakins, J. C., & Redfield, A. C. (1923). Observations upon the effect of high altitude on the physiological processes of the human body, carried out in the Peruvian Andes, chiefly at Cerro de Pasco. In Report to the Peru high-altitude committee. Philosophical Transactions of the Royal Society. https://doi.org/10.1098/rstb.1923.0008.
Google Scholar
6
-
Buskirk, E. R., Kollias, J., Akers, R. F., Prokop, E. K., & Reategui, E. P. (1967). Maximal performance at altitude and on return from altitude in conditioned runners. Journal of Applied Physiology, 23(2), 259–266. https://doi.org/10.1152/jappl.1967.23.2.259.
Google Scholar
7
-
Bärstch, P., Saltin, B., & Dvorak, J. (2008). Consensus statement on playing football at different altitude. Scandinavian Journal of Medicine & Science in Sports Suppl, 1, 96–99. https://doi.org/10.1111/j.1600-0838.2008.00837.x.
Google Scholar
8
-
Calbet, J. A., Boushel, R., Rådegran, G., Søndergaard, H., Wagner, P. D., & Saltin, B. (2003). Determinants of maximal oxygen uptake in severe acute hypoxia. American Journal of Physiology Regulatory Integrative Comparative Physiology, 284(2), R291–R303. https://doi.org/10.1152/ajpregu.00155.2002.
Google Scholar
9
-
Chapman, R. F., Laymon Stickford, A. S., Lundby, C., & Levine, B. D. (2014). Timing of return from altitude training for optimal sea level performance. Journal of Applied Physiology, 116(7), 837–843. https://doi.org/10.1152/japplphysiol.00663.2013.
Google Scholar
10
-
Dill, D. V., & Adams, W. C. (1971). Maximal oxygen uptake at sea level at at 3,090-m altitude in high school champion runners. Journal of Applied Physiology, 30(6), 854–859. https://doi.org/10.1152/jappl.1971.30.6.854.
Google Scholar
11
-
Dill, D. V., Myhre, L. G., Earl Phillips, E., & Brown, D. K. (1966). Work capacity in acute exposures to altitude. Journal of Applied Physiology, 21(4), 1168–1176. https://doi.org/10.1152/jappl.1966.21.4.1168.
Google Scholar
12
-
Dill, D. V., Robinson, S., Balke, B., & Newton, J. L. (1964). Work tolerance: Age and altitude. Journal of Applied Physiology, 19(3), 483–488. https://doi.org/10.1152/jappl.1964.19.3.483.
Google Scholar
13
-
Frisancho, A. R. (2025). Origin of the Nuñoa, Perú high altitude field research site and how it shaped our understanding of functional adaptation to high-altitude stressors. American Journal of Human Biology, 37, e70031. https://doi.org/10.1002/ajhb.70031.
Google Scholar
14
-
Grover, R. F., Reeves, J. T., Grover, E. B., & Leathers, J. E. (1966). Exercise performance of athletes at sea level and 3100 meters altitude. Medicina Thoracalis, 23(3), 129–143. https://doi.org/10.1159/000192479.
Google Scholar
15
-
Grover, R. F., Reeves, J. T., Grover, E. B., & Leathers, J. E. (1967). Muscular exercise in young men native to 3,100 m altitude. Journal of Applied Physiology, 22(3), 555–564. https://doi.org/10.1152/jappl.1967.22.3.555.
Google Scholar
16
-
Hopkins, W. G., Marshall, S. W., Batterham, A. M., & Hanin, J. (2009). Progressive statistics for studies in sports medicine and exercise science. Medicine & Science in Sports & Exercise, 41(1), 3–13. https://doi.org/10.1249/mss.0b013e31818cb278.
Google Scholar
17
-
Hurtado, A. (1927). Estudios de metabolismo básico en el Perú. Anales Facultad de Medicina, 13(4), 253–316. https://doi.org/10.15381/anales.v13i4.10088.
Google Scholar
18
-
Hurtado, A., Kaltreider, N., & McCann, W. (1934). Respiratory adaptation to anoxemia. American Physiological Society Journal, 109(4), 626–637. https://doi.org/10.1152/ajplegacy.1934.109.4.626.
Google Scholar
19
-
Hurtado, A., Velásquez, T., Reynafarje, C., Lozano, R., Chávez, R., Aste-Salazar, H., Reynafarje, B., Sánchez, C., & Muñoz, J. (1956). Mechanisms of Natural Acclimatization: Studies on the Native Resident of Morococha, Peru, at an Altitude of 14,900 Feet. Randolph AFB, Tex: Air University, School of Aviation Medicine. USAF.
Google Scholar
20
-
Kollias, J., Buskirk, E. R., Akers, R. F., Prokop, E. K., Baker, P. T., & Picón-Reátegui, E. (1968). Work capacity of long-time residents and newcomers to altitude. Journal of Applied Physiology, 24(6), 792–799. https://doi.org/10.1152/jappl.1968.24.6.792.
Google Scholar
21
-
Lawrence, J. H., Huff, R. L., Siri, W., Wasserman, L. R., & Hennessy, T. G. (1952). A physilological study in the Peruvian Andes. Acta Medica Scandinavica, 142(2), 117–131. https://doi.org/10.1111/j.0954-6820.1952.tb13851.x.
Google Scholar
22
-
Little, M. A., Thomas, R. B., & Garruto, R. M. (2025). History and legacy of Andean research in Nuñoa. Peru American Journal of Human Biology, 37, e70059. https://doi.org/10.1002/ajhb.70059.
Google Scholar
23
-
McFarland, R. A. (1937). Psycho-physiological studies at high altitude in the Andes. II. Sensory and motor responses during acclimatization. Journal of Comparatice Psychology, 23(1), 227–258. https://doi.org/10.1037/h0056332.
Google Scholar
24
-
Picón-Reátegui, E. (1961). Basal metabolic rate and body composition at high altitudes. Journal of Applied Physiology, 16(3), 431–434. https://doi.org/10.1152/jappl.1961.16.3.431.
Google Scholar
25
-
Picón-Reátegui, E., Buskirk, E. R., & Baker, P. T. (1970). Blood glucose in high-altitude natives and during acclimatization to altitude. Journal of Applied Physiology, 29(5), 560–563. https://doi.org/10.1152/jappl.1970.29.5.560.
Google Scholar
26
-
Reeves, J. T., Grover, R. F., & Cohn, J. E. (1967). Regulation of ventilation during exercise at 10,200 ft in athletes born at low altitude. Journal of Applied Physiology, 22(3), 546–554. https://doi.org/10.1152/jappl.1967.22.3.546.
Google Scholar
27
-
Sanz Quinto, S., Girard, O., López Grueso, R., Brizuela, G., & Moya Ramón, M. (2022). Hematological and ventilatory responses to a 3900 M altitude sojourn in an elite wheelchair-marathoner. European Journal of Sport Sciences, 1(1), 1–8. https://doi.org/10.24018/ejsport.2022.1.1.2.
Google Scholar
28
-
Sanz-Quinto, S., López-Grueso, R., Brizuela, G., Flatt, A. A., & Moya-Ramón, M. (2019). Influence of training models at 3,900-m altitude on the physiological response and performance of a professional wheelchair athlete: A case study. Journal of Strength Conditioning Research, 33(6), 1714–1722. https://doi.org/10.1519/jsc.0000000000002667.
Google Scholar
29
-
Sanz-Quinto, S., Moya-Ramón, M., Brizuela, G., Rice, I., & López-Grueso, R. (2019). Nutritional strategies in an elite wheelchair marathoner at 3900 m altitude: A case report. Journal of the International Society of Sports Nutrition, 16, 51. https://doi.org/10.1186/s12970-019-0321-8.
Google Scholar
30
-
Sanz-Quinto, S., Moya-Ramón, M., Brizuela, G., Rice, I., & López-Grueso, R. (2023). Hydration strategies at 4000 m altitude sojourn in a marathoner. Revista Internacional de Medicina y Ciencias de la Actividad Física y del Deporte, 23, 451–468. https://doi.org/10.15366/rimcafd2023.91.028.
Google Scholar
31
-
Viault, E. (1891). Sur la quantité d’oxygène contenue dans le sang des animaux des hautes plateaux de l’Amérique du Sud. Comptes Rendus de l’Académie des Sciences, 112, 295–298.
Google Scholar
32
-
Wagner, P. D. (2000). Reduced maximal cardiac output at altitude—mechanisms and significance. Respiratory Physiology, 120(1), 1–11. https://doi.org/10.1016/s0034-5687(99)00101-2.
Google Scholar
33
-
Whymper, E. (1891). Travels Amongst the Great Andes. John Murray.
Google Scholar
34
Most read articles by the same author(s)
-
Santiago Sanz-Quinto,
Gabriel Brizuela,
Juan Manuel Alonso,
Carbon Racing Wheelchair Frames: Trespassing Technological Unfairness? , European Journal of Sport Sciences: Vol. 3 No. 1 (2024) -
Santiago Sanz Quinto,
Olivier Girard,
Raúl López Grueso,
Gabriel Brizuela,
Manuel Moya Ramón,
Hematological and Ventilatory Responses to a 3900 M Altitude Sojourn in an Elite Wheelchair-marathoner , European Journal of Sport Sciences: Vol. 1 No. 1 (2022)





